カットセル

乱流

圧縮性流体

非ニュートン流体

伝熱解析・熱連成・輻射

自然対流

2相流(沸騰・凝固)

燃焼・爆発

化学反応

CVD

自由表面・表面張力

粒子挙動

プラズマ・電磁場

固体内応力

曲線座標系

拡散

回転体

移動境界

トップページ熱流体事例 > 機能別及び検証事例非ニュートン流体事例パイプ内のビンガム塑性流体の乱流

パイプ内のビンガム塑性流体の乱流

概要:

 ・この計算は、パイプ内のビンガム塑性流体を対象とした低レイノルズ数乱流モデルと非ニュートン流体モデルを実証したものである
 ・ビンガム塑性流体は、応力がある限界値以下であると剛体としてふるまい、ある限界値を超えると粘性は減少し流動化する
 ・パイプ内のビンガム塑性流体の流れは、粗粒の懸濁物、スラリー状のもの、ヘドロ、ペンキ(塗料)、泥などの流れに関連する
 ・この計算は十分発達した速度プロファイルに対する摩擦抵抗を計算するために実施されました(2次元計算)
 ・乱流モデルとしては2つの低レイノルズ数乱流モデル(the Lam-Bremhorst k-e model, the Wilcox k-w model.)を使用した
 ・計算は十分発達した層流、乱流で行なった
 ・パラメータ: 摩擦係数 f、 ビンガムレイノルズ数 Re=rho*Wb*D/K、Hedstrom数 H=Y*Re、 Yield数Y=Tauy*D/(K*Wb)、
Tauyは降伏応力、 Kはコンシステンシー、Dはパイプの直径、 wbは体積速度

結果:

 

1. 摩擦抵抗: LAM-BREMHORST LOW-RE K-E MODEL

bingap1.gif (7689 バイト)

2. 摩擦抵抗: WILCOX LOW-RE K-W MODEL

bingap2.gif (7715 バイト)

3. スラリー状ベントナイトの平均速度

bingap3.gif (6621 バイト)

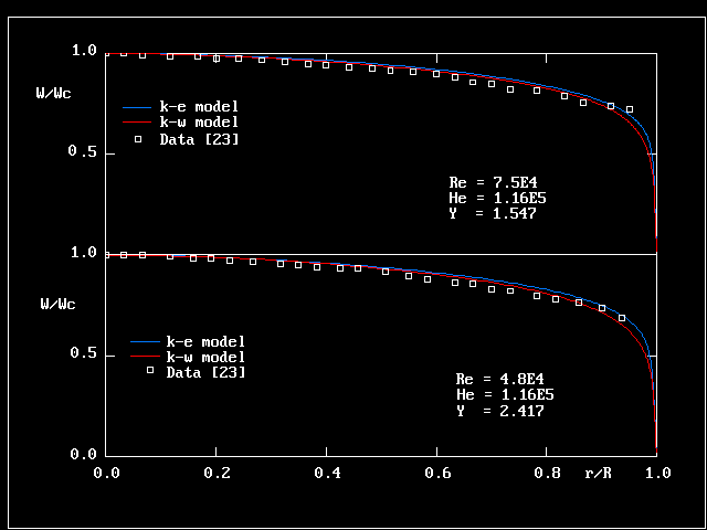
4. スラリー状礬土(ばんど)の平均速度

bingap4.gif (6744 バイト)

5. レイノルズ数 RE=1E5における様々なHEDSTROM数における平均速度

bingap5.gif (7962 バイト)

6. HEDSTROM数とレイノルズ数の相関図

bingap6.gif (5485 バイト)

パイプ内のビンガム塑性流体の乱流

©2005 Copyright Concentration Heat and Momentum Ltd. Welcome to this Web site ! since 8/Jan/1999